北京冬奥会延庆赛区场馆水资源利用方案比选
摘要:介绍了北京冬奥会延庆赛区水资源供需情况,并对水资源利用方案进行比选。基于完整年尺度的水资源分析显示,延庆赛区奥运年需从外部调水57.09×104m3,其中地表水47.11×104m3,自来水9.98×104m3;非奥运年需从外部调水16.35×104m3,全部为自来水。基于逐日分析的水资源利用方案显示,非奥运年再生水系统与融雪水、雨水系统分设方案再生水回用率仅为26.01%,远低于再生水、融雪水、雨水系统统一调蓄方案再生水回用率(56.85%),从水资源管控、景观环境营造、场馆运营等方面进行对比,再生水、融雪水、雨水系统统一调蓄方案对水资源的管理更为高效。
01 项目概况
1.1 项目组成
北京2022年冬奥会和冬残奥会是我国历史上第一次举办冬季奥运会,冬奥会共设置三大赛区:北京赛区、张家口赛区、延庆赛区。其中延庆赛区位于北京市延庆区西北部小海坨山区佛峪口流域,建设有两个竞赛场馆和两个非竞赛场馆:国家高山滑雪中心、国家雪车雪橇中心、奥运村和山地新闻中心。总建筑面积约23.08×104m2,其中地上建筑19.6×104m2,地下建筑3.5×104m2。
1.2 供水水源
延庆赛区供水水源主要由佛峪口水库、白河堡水库和官厅水库组成,经技术经济分析,自来水最终由佛峪口水厂供水,水源则来自现状佛峪口水库和白河堡水库,白河堡净水厂处理的自来水通过北山输水管线输水至佛峪口水厂;赛区造雪用水使用地表水,由白河堡水库及佛峪口水库联合供水。官厅水库规划作为冬奥会赛后供水水源。
02 水资源供需情况
2.1 用水需求
延庆赛区用水量主要由场馆生活用水和造雪制冰用水组成,具体如表1所示。其中:场馆生活用水根据奥运年和非奥运年场馆功能、使用时段、用水人数和定额进行计算;造雪制冰用水,奥运年主要用于国家高山滑雪中心,非奥运年根据赛后运营方案详细计算。
在用水需求方面,造雪用水需求量最大,其中:赛时造雪用水量约为66.26×104m3/a,赛后不同运营方式对用水量的影响显著,造雪用水量约为19.2×104m3/a。

2.2 可用水资源
① 雨水径流
延庆赛区分别建有海拔900m和1050m的塘坝两座,库容分别为8×104m3和9.15×104m3;海拔800m和1290m的调蓄水池两座,容积均为1×104m3。其中:900m塘坝位于佛峪口主沟上,汇水面积约1500hm2,年降水径流量约109.7×104m3。年降水径流量远大于塘坝和调蓄水池的总容积19.15×104m3,因此采用兴利库容调节降雨径流以节省造雪用地表水消耗。
② 融雪径流
根据《国家高山滑雪中心水影响评价报告书》进行融雪水水量预测,奥运年融雪水退水各部分比例分布为:蒸发22.6%、入渗35%、自然损失20%,最终形成的径流进入赛区内总容积约19.15×104m3的4座塘坝和调蓄水池;非奥运年的融雪季节主要在3月—4月,蒸发损失约56.4mm,按造雪面积36.7hm2计算,则融雪水蒸发量约2.07×104m3,入渗和自然损失系数与奥运年相同。融雪径流量见表2。

③再生水
根据《建筑给水排水设计规范》(GB 50015—2003)中第4.4.1条,“小区生活排水系统排水定额宜为其相应的生活给水系统用水定额的85%~95%”,本项目排水量按生活用水量的90%计算,生活排水到再生水转化率取75%,延庆赛区场馆年排水量计算结果见表3。

2.3 水资源供需关系
①非常规水源供需关系
在未考虑雨水资源利用的情况下,可用水资源中再生水和融雪水作为非常规水源,可供造雪和冲厕、绿化浇洒等使用。生活排水处理的转化率取75%,融雪水利用率取85%,两项合计产生总量奥运年为21.16×104m3/a、非奥运年为17.87×104m3/a。
通过表1可以得出,奥运年冲厕和绿化浇洒用水对再生水的需求量约为3.53×104m3/a,非奥运年冲厕和绿化浇洒用水对再生水的需求量为3.28×104m3/a。基于完整年尺度的水资源分析显示,再生水和融雪水合计提供的水量能够满足冲厕、绿化浇洒等需要,尚有剩余可用于造雪。
②常规水资源供需关系
通过表1可以看出,奥运年造雪用水需求量为66.26×104m3/a,自来水(不含冲厕)需求量为9.98×104m3/a;非奥运年造雪用水需求量为19.2×104m3/a,自来水(不含冲厕)需求量为16.35×104m3/a。由于塘坝和调蓄水池储水可提供造雪用水约19.15×104m3/a,因此奥运年还需外调地表水47.11×104m3/a,自来水9.98×104m3/a;非奥运年基本不用外调地表水,仅需外调自来水16.35×104m3/a。
③水资源整体供需情况
基于完整年尺度分析,延庆赛区水资源供需关系如图1所示。奥运年总需水量为79.77×104m3/a,其中:造雪用水66.26×104m3/a,生活用水9.98×104m3/a,冲厕绿化用水3.53×104m3/a;奥运年总需外部调水量为57.09×104m3/a,其中:地表水47.11×104m3/a,自来水9.98×104m3/a;非奥运年总需水量为38.83×104m3/a,其中:造雪用水19.2×104m3/a,生活用水16.35×104m3/a,冲厕绿化用水3.28×104m3/a;非奥运年总需外部调水量16.35×104m3/a,全部为自来水。
03 水资源利用方案
3.1方案一:再生水和融雪水、雨水系统分设
再生水和融雪水、雨水系统分开设置,生活污(废)水全部集中处理,形成达标再生水后供场馆冲厕和绿化浇洒等使用。再生水量供大于求时,多余部分在污水处理厂和再生水厂退水排放至佛峪口水库下游;再生水量供小于求时,不足部分由自来水补充。融雪水和降雨径流进入塘坝和调蓄水池蓄存,供造雪使用,多余部分通过赛区管廊退水至佛峪口水库下游。由于融雪径流和雨水径流产量、冬季场馆全年用水量分布极度不均衡,需要进行逐日分析计算不同计算年的再生水回用率。
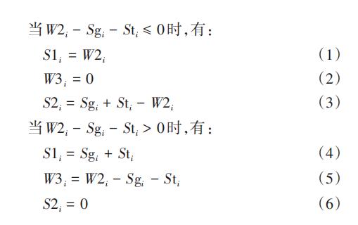
①奥运年再生水系统
根据奥运年全年365d逐日的生活排水量W1i,以及冲厕Sti、绿化浇洒Sgi等用途的逐日用水量,按照下式计算再生水实际用水量S1i、再生水排放量W3i和自来水补水量S2i。

式中:S1i为某日再生水实际用水量,m3/d;W2i为某日再生水供水能力,m3/d,按W1i的75%计算;Sgi为某日绿化浇洒等用水量,m3/d;Sti为某日冲厕用水量,m3/d。
基于以上计算出的逐日数据,对奥运年365d数据进行累加,得出:污水处理站总进水量W1为114 078m3/a,再生水总供水能力W2为85558.5m3/a,再生水实际使用量S1为25585.6m3/a,再生水实际排放量W3为59972.9m3/a,全年自来水补水量为9714.4m3/a。基于逐日分析的奥运年再生水系统,再生水回用率仅为29.90%,而排放占比高达70.10%。由于供需不平衡,在大量排放再生水的情况下,奥运年还需补充自来水弥补再生水的不足,补充水量相当于再生水实际使用量的37.97%。
② 奥运年造雪水系统
融雪径流和降雨径流将进入塘坝,蓄水用于造雪系统。根据奥运年全年365d逐日的造雪用水量Rsi,水面蒸发量Rzi、融雪水径流量Rmi和降雨径流量Ri,按照下式计算塘坝蓄水量Vi、塘坝向造雪系统实际供水量Rvi和自来水补水量S2i:

式中:Vi为某日塘坝蓄水量,m³/d;Rsi为某日造雪用水量,m3/d;Rzi为某日水面蒸发量,m³/d;Rmi为某日融雪水径流量,m³/d;Ri为某日降雨径流量,m³/d。
全年造雪用水量662600m³,其中塘坝总供水量171500m³,不足部分由外部输入地表水补充,全年补充量为491100m3。根据式(7)~(9),全年25.9%的造雪用水来自塘坝,其余74.1%需外部地表水补充。
③ 非奥运年再生水系统
与奥运年再生水系统计算原理相同,污水处理站总进水量W1为164 634m3/a,再生水总供水能力W2为123475.5m3/a,再生水实际使用量S1为32118.2m³/a,再生水实际排放量W3为91357.3m³/a,全年自来水补水量为681.8m3。基于逐日分析的奥运年再生水系统,再生水回用率仅为26.01%,而排放占比高达73.99%。由于再生水供需不平衡,在大量排放再生水的情况下,奥运年还需补充自来水弥补再生水的不足,补充水量相当于再生水实际使用量的2.12%。由于补充量并不大,可以辅以蓄水调节措施进一步减少补水需求。
④ 非奥运年造雪水系统
与奥运年造雪水系统计算原理相同,赛区内年融雪径流总量65000m³,塘坝汇水面积内的降雨径流量1097000m³,造雪系统消耗192000m³,蒸发消耗28419.2m³。因此,非奥运年造雪用水量基本可由塘坝供水,不需额外输入地表水补充。
3.2 方案二:再生水、融雪水、雨水统一调蓄
再生水和融雪水、雨水等非传统水源集中通过塘坝调蓄。生活污(废)水集中全部处理,形成达标再生水后供场馆冲厕和绿化浇洒等使用。供需不平衡情况下,再生水多余部分进入塘坝蓄存;供水不足时,由塘坝向场馆供水补充。融雪水和降雨径流进入塘坝蓄存,与再生水混合供造雪使用,多余部分通过赛区管廊退水至佛峪口水库下游。
该方案将各项用水合并通过塘坝调节,所以在计算中将逐日生活排水量W1i、冲厕用水Sti、绿化浇洒用水Sgi、造雪用水量Rsi、水面蒸发量Rzi、融雪水径流量Rmi、降雨径流量Ri一并作为已知条件,计算包括供水、塘坝向再生水系统补水,以及自来水向再生水系统补水;造雪水计算则包括塘坝向造雪水的供水和地表水补水需求等。通过各项进水、用水的相互作用,还可计算通过塘坝再生水向造雪系统供水的总量,以及通过塘坝溢流排放等各项水量。
① 奥运年系统供需关系
某日塘坝的蓄水量Vi计算如下:

② 非奥运年系统供需关系
采用与奥运年相同的计算方法,全年污水处理站进水量W1为164634m³,再生水总供水能力W2为123475.5m³。全年冲厕、绿化等用水量32800m³,再生水直接用水32118.2m³,占比97.92%,其余再生水91357.3m³进入塘坝调蓄,用于补充造雪系统。全年造雪用水量192000m³全部由塘坝蓄水提供,这其中包含再生水38081.1m³。综上分析,非奥运年包括冲厕、绿化和造雪在内,全年再生水回用率为56.85%。
3.3 方案比选
① 水资源管控
根据“兼顾赛时、注重赛后”的原则,两方案重点围绕非奥运年即赛后运行阶段进行比选。由于使用不同的调蓄方式,再生水的使用情况差距较大,如表4所示。方案一:再生水全部供给冲厕和绿化浇洒等,多余部分通过退水排放,同时有少量不足采用自来水补充;方案二再生水除供应方案一的相同途径以外,还通过塘坝调蓄为造雪系统供水,故方案二相应外排量减少,通过计算分析,方案一再生水回用率为26.01%,方案二再生水回用率为56.85%,更节约水资源。

② 景观环境方面
方案一塘坝进水为融雪水和雨水径流,方案二在此基础上增加了再生水。延庆赛区再生水处理要求达到《地表水环境质量标准》(GB 3838—2002)Ⅲ类水标准,再生水水质标准适用于集中式生活饮用水地表水源地二级保护区。此外,针对塘坝蓄水给冬奥赛区建设带来的永久性改变,与方案一相比,方案二易于营造良好的景观效果。
③ 场馆运营方面
a.两个方案为场馆水资源运营提供了不同的条件。水是未来雪场运营的核心,为实现赛区正常运营,造雪需要从塘坝取水,故建设过程中塘坝需要采取防渗处理等保持水量的工程措施加以修整,还可能根据需要采取保持水质的措施,运营过程塘坝本体需要持续维护,周边景观需要营造,且为实现足量蓄水,塘坝间需要调配,即涉及动力费用和设备养护费用,因此赛区内的塘坝管理不同于天然河湖,而是与人工蓄水设施更加相近,故塘坝自身的运营不可避免地成为整体运营的一部分。
方案一中再生水和造雪水系统完全分设,污(废)水处理与塘坝调蓄各自独立,这意味着污水处理和再生水厂与塘坝系统具备分别独立运营的良好条件。方案二,塘坝作为各项蓄水供水的中转站,切分运营的条件不及方案一。
b.高水平的水资源管控需要以明确清晰的标准为基础。水质管理是水资源管控水平的重要组成部分,方案一中再生水和造雪水系统完全分设,再生水回用率为26.01%的情景下,污(废)水处理的出水大部分排放,少部分回用,提高出水水质标准就显得必要性不大,徒增水处理成本。实际工程中的退水管道,方案一将允许两种“污水”进入,一是污水处理厂的正常出水,二是事故排水,两种污水水质差距很大又将进入同一管道系统,一方面造成下游承接退水的系统只能按照不利情况作为条件,将退水全部视为未处理的污水制定处理方案,换言之,对于下游来说,接入未经处理的污水属于必然的情况,另一方面既然下游能够承接全部未处理的污水,则赛区污水厂进行污(废)水处理的必要性又成了问题。上述分析表明,污水通过退水系统向赛区外排放的过程,水质标准管理将变得较为模糊,实际运行中对污染物流出赛区的控制不利。
方案二,再生水和造雪水系统耦合,再生水回用率(56.85%)超过50%。由于排放方式是通过塘坝溢流,必须保持较高的出水水质标准以满足天然沟道水体的各项要求,出水水质标准易于明确清晰。退水管道只需用于事故排水,对于下游,接入事故排水属于偶然情况,同时退水水量也将显著减少。实际运行中,污染物流出赛区将得到更好的控制。因此,从场馆运营方面来看,方案二优于方案一。
04 结论和建议
① 根据延庆赛区场馆运行情况,将水资源供需情况划分为奥运年和非奥运年两个场景分别进行分析,基于完整年尺度的水资源分析显示,延庆赛区奥运年需从外部调水57.09×104m3,其中地表水47.11×104m3,自来水9.98×104m3;非奥运年需从外部调水16.35×104m3,全部为自来水。
② 水资源利用方案比选提供了再生水系统与融雪水、雨水系统分设和再生水、融雪水、雨水系统统一调蓄两种方案。基于逐日分析的水资源利用方案显示,非奥运年再生水系统与融雪水、雨水系统分设方案的再生水回用率仅为26.01%,远低于再生水、融雪水、雨水系统统一调蓄方案的再生水回用率(56.85%)。
③ 从水资源管控、景观环境营造、场馆运营等方面对主要水资源方案进行分析,发现方案二更能体现出冬奥项目建设方在水资源高效管理和利用方面的水平,因此建议采用方案二作为延庆赛区场馆水资源利用的实施方案。根据水量供需分析,非奥运年赛区运营,只需要外调自来水供生活用水,造雪用水因使用融雪水、再生水、雨水而不再需要引入外部地表水水源,从而使造雪水消耗由赛区内部供给,实现了水资源的内部循环。最终延庆赛区给水、排水、塘坝系统设计及工程建设确定按照方案二推进。
以上是小编收集整理的北京冬奥会延庆赛区场馆水资源利用方案比选部分内容来自网络,如有侵权请联系删除:153045535@qq.com;
本文地址:










