水草茂盛的水域 pH为何容易偏高甚至“超标”?
明清澈见底,各项水质指标I~III类,水下森林生长完美,可pH却不达标!
"pH偏高甚至超标,是水生态修复比较容易出现的一个问题。这个现象往往发生在项目中后期,尤其是夏秋季,水下森林构建完成,并形成了相对稳定的净化系统。你看得到沉水植物生长旺盛,甚至观察得到其叶片不断滋生的气泡,一汪清水着实喜人,不亚于广告中有点甜的矿泉水。放心的交由第三方检测水质,却被告知pH为9.7,超出了地表水标准的6~9限值,水质不达标!可其他指标明明很好。DO为I类,COD为II类,氨氮为II类,TP为III类,这样的水说不达标,很难让人理解。
是水质真的不好么,肯定不是。是检测结果有偏差么,却也未必。抛开外部人为因素等影响,水体pH超标的内在原因是什么呢?
1 pH超标的表现
一般情况下,水生态系统初步构建完成后,水体各项污染指标均会得到大幅削减,pH也会回归至7~9的常规水平,水质整体向好。
随着水草生长繁殖,水下森林覆盖率不断提升。夏季高温时节更是大多数沉水植物分蘖的高峰期,在此期间,可能发生水体pH超标现象(统一表现为pH>9,一般不会超过10),水体呈碱性。
从空间来讲,pH超标现象并不会发生在整个水域,而大多出现在沉水植物生长最为旺盛的区域;从时间来讲,pH超标也多发生在5~8月份的晴天中午10:00~16:00之间,正午时段发生概率最高。
此外,pH超标一般为单独现象,基本不影响水体透明度及其他水质指标。
2 水这么好,pH为何还会超标?
可以说,恰恰是水质好、水草旺盛,才更易发生pH超标现象。
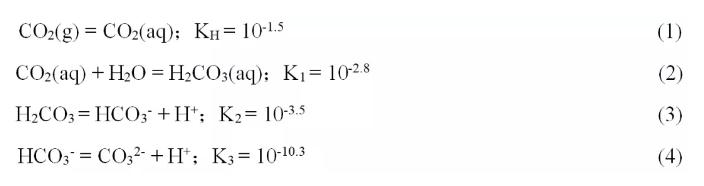
pH超标的原因,可以简述为:沉水植物光合作用消耗水中的CO2,CO2的减少又会改变水中碳酸平衡,进而导致水体pH升高。
水体中的碳酸平衡方程为:

而沉水植物的光合作用又与碳酸盐体系存在着如下关系:

上述平衡控制着水体pH的变化,任何一种离子浓度的变化都将引起pH的改变。
在水草生长旺盛的区域,拥有更强的光合作用,也就意味着要消耗更多的CO2,当植物不能直接从水体中获得足够的游离二氧化碳时,只能从碳酸氢根夺取二氧化碳,方程式(6)向右移动,释放出OH-,导致pH升高。
根据王传海等(2007)研究发现,沉水植物在光合作用光反应阶段会产生大量原子氧,导致水体DO含量迅速提升,为保持细胞内外的酸碱平衡,植物也会把细胞内形成的OH-排出细胞外,导致水体中OH-浓度升高,进而引起水体pH升高。
随着光照条件变弱,植物光合作用也逐渐减弱,pH将逐步降低;夜晚由于光合作用的消失,同时植物的呼吸作用会产生一定量的CO2,水体pH值将逐步恢复至偏中性状态(7.0~9.0)。
3 pH超标一定是坏事吗?
由水污染引起的pH含量超标,当然不是好事。
但由于沉水植物系统光合作用引起的pH短暂升高,也并非坏事。这是一种正常的自然现象。
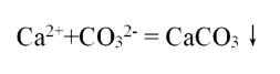
研究表明,pH的变化会改变微生物的环境条件。当沉水植物光合作用增强,水体中pH升高,有助于下面方程向左移动,促进水中氨氮以气体形式逸出水体。

此外,随着pH的升高,碳酸根的比例在逐步增加,有利于与水中钙、镁等阳离子形成沉淀,水体总硬度也随之下降,即起到了“生物脱钙”作用。

赵联芳等人研究表明,当水体pH>8.55时,种植有伊乐藻的水体才表现出明显的削减氨氮的作用,在pH<8时该作用则不显著。其通过对比发现,在沉水植物生物量较大时,pH小幅度升高即可促进系统中N的去除。
当然,植物光合作用也不会无限制的提高水体的pH值。毕竟植物生长也有自己的边界条件。当水体pH过高,也会反过来降低沉水植物的光合放氧量,抑制光合作用。
张浏等人研究表明,水体pH的大幅增加,会导致一系列的水化学变化,如氧化还原状态、营养盐形态,也可导致沉水植物生产力下降,净化作用降低,过高的pH值也可能直接引起植物的死亡。
需要注意的是,这种高pH的极端现象,绝非仅仅来自植物自身的光合作用。如果水体pH超过10甚至更高,就应该好好检查是否存在外部的干扰因素了。
4 科学案例佐证
中科院南京地理与湖泊研究所的王传海教授团队,在其关于苦草对水体环境因子影响变化的研究中发现,种植有苦草的水体,其溶解氧、pH值均显著高于无植物的水体。
研究还表明,种植有苦草的水体其pH值日变化趋势明显,pH呈明显的以下午3点为最高值的单峰曲线。最高值达到9.25,6:00~23:00期间pH平均为8.24。

这一现象的发生,也正是由于沉水植物的光合作用消耗水体中的CO2所致,进而引起pH升高。值得注意的是,即使到了凌晨,有苦草的水体中pH值仍然高于无苦草的对照组,这可能意味着CO2在水中溶解的速率较慢。
狄春华在其发表的《尚湖原水pH异常原因分析与应对》一文指出,“……在线监测数据发现:4月底尚湖pH值突然升高,6月中旬回落至8.5以下;7月上旬开始一路上升,最高达9.68(8月中旬),直至10月中旬才回落至8.5以下。”
研究认为,pH的异常与湖泊沉水植物生长旺盛、光合作用强有关。光合作用释放大量氧气,并吸收CO2,促使湖水中的碳酸平衡发生变化,导致pH升高。6月份pH回落是因为当地自6月11日入梅,梅雨期26天,与pH低谷时段相当。
5 写在最后
总体来讲,由沉水植物光合作用引起的pH升高或不稳定现象,不必大惊小怪,这种pH的变化,更像是表征水生态修复成效的一种良性指标。
事实上,在水生态考核工作中,建议不必模式化的照搬pH为6~9的标准,而应结合其他多项水质指标,用老百姓看得见、感受得到的方法,综合判定水质。
以上是小编收集整理的水草茂盛的水域 pH为何容易偏高甚至“超标”?部分内容来自网络,如有侵权请联系删除:153045535@qq.com;
本文地址:










